Zurück...

Kovarianz und Standardabweichung für a,b und r

Bisher wurde der Korrelationskoeffizient r als einziges Kriterium zur Beurteilung der Qualität einer lineraren Funktion beschrieben. Es wird gezeigt, wie weitere Daten zur Genauigkeit, wie die Standardabweichung für a, b, r und die Kovarianz, einer Funktion berechnet (“geschätzt”) werden. Diese Daten “verfeinern” die simple Angabe der Funktionsgleichung und des Korrelationskoeffizienten. Siehe dazu auch das Thema Homoskedastizität!

K_R_Bild_24

 

Tabelle 1

n: Anzahl der Werte (Beobachtungen)

Obige Tabelle (Tabelle 1) dient als Ausgangsbasis für die folgenden Beispiele. Neben den x- und y-Werten sehen Sie weitere Daten. Diese werden in den Beispielberechnungen benötigt. An dieser Stelle sei erwähnt, dass Sie RGP aus OpenOffice Calc oder auch das Statistikprogramm R nutzen können. Sollten Sie R noch nicht kennen, können Sie ich mit Einführung in R in das kostenfreie Statistikprogramm einarbeiten.

Die Grafik 1 macht deutlich, worum es geht: Die x- und y-Werte “bringen” auf Grund ihrer Natur fast immer Wahrscheinlichkeitsverteilunge n in die Berechnung ein.
Den Einfluss auf die Parameter a, b, r und auf berechnete y-Werte gilt es in Folgendem zu ermitteln.

Kovarianz sxy:

Grafik 1

Die Berechnungen zur Korrelations- und Regressionsanalyse basieren, wie schon erwähnt, auf den Beobachtungswerten x und y. Die Größe der Abweichung dieser Werte vom jeweilgen Mittelwert ist ein Maß für den Grad des Miteinandervariierens der Beobachtungen. Die Kovarianz ist das Analogon zur Standardabweichung und wird wie folgt berechnet:

K_R_Bild_26

Korrelationskoeffizient r über die Kovarianz und den Standardabweichungen:

Folgende Berechnung kann als Alternative oder zu Kontrollzwecken gesehen werden:

K_R_Bild_27

Regressionskoeffizient b:

Folgende Berechnungen kann als Alternative oder zu Kontrollzwecken gesehen werden:

K_R_Bild_29

Standardabweichung sy.x:

Die Standardabweichung für y wenn x einen bestimmten Wert auf der Regressionsgeraden annimmt, wird berechnet nach:

K_R_Bild_30

sy.x: Standardabweichung der y-Werte (berechnet) für ein gegebenes x
Gelesen: sy Punkt x
(Standardfehler der Voraussage)

s2y.x wird auch als Restvarianz bezeichnet.

Die Standardabweichung sy.x kann durch folgende Beziehung geprüft werden:

K_R_Bild_31

Strebt r gegen 0 strebt sy.x gegen sy. Strebt r gegen 1 strebt sy.x gegen 0!

Standardabweichung sa des Achsenabschnittes a:

Die Berechnung erfolgt nach folgender Formel und Beispiel:

K_R_Bild_32

Standardabweichung sb des Regressionskoeffizienten b:

Die Berechnung erfolgt nach folgender Formel und Beispiel:

K_R_Bild_33

Sie können die Berechnung von sa und sb wie folgt kontrollieren:

K_R_Bild_34

Vertrauensbereich für die Regressionsgerade:

In Grafik 1 wurde auch eine Streuung für die Regressionsgerade angedeutet, welche in Grafik 2 durch die Frage nach dem Vertrauensbereich für die Regressionsgerade hervorgehoben wird (grüne Linie).
In diesem Abschnitt wird die Schätzung des Vertrauensbereiches für die gesamte Regressionsgerade dargestellt.

Grafik 2

Der Vertrauensbereich VB für die gesamte Regressionsgerade wird über die geschätzte Standardabweichung an der Stelle x berechnet:

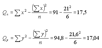
Qx siehe hier!
F: Wert der
F-Verteilung
    mit der Wahrscheinlichkeit P
: y geschätzt an der Stelle x

Obige Rechnung (Schätzung) wird für beliebige x-Werte über den Datenbereich wiederholt:

i: Index über den Datenbereich

Daraus resultiert eine VB-Matrix über die gewählten x-Werte des Datenbereiches:

Index i

1

...

...

2

...

...

:

...

...

n

...

...

Diese VB-Matrix in die graphische Darstellung der Regressionsgrafik übernommen, zeigt dann folgendes beispielhafte Bild (Grafik 3):

Grafik 3

Dabei ist zu berücksichtigen, das die Werte der VB-Matrix zunehmend unsicherer werden, je weiter die Werte von der Mitte der Regressionsgeraden entfernt sind. Graphisch wird dies deutlich, durch die Hyperbeläste in der Darstellung des Vertrauensbereiches (grüne Linien) in Grafik 3.

Auf Basis der Daten aus Tabelle 1 wird mit OpenOffice Calc der Vertrauensbereich mit (F2,4,P=97,5%=10,65) geschätzt und graphisch dargestellt (Grafik 4):

Grafik 4

Hier können Sie die OpenOffice-Datei aus Grafik 4 laden!

Seitenanfang

Hat der Inhalt Ihnen weitergeholfen und Sie möchten diese Seiten unterstützen?

Impressum

Datenschutz