Zurück ...

Tangente und Ableitung

In diesem Abschnitt geht es um den Begriff Ableitung einer Funktion f(x). Dabei werden wir feststellen, dass es sich beim Grenzwert um eine Interpretation der Ableitung einer Funktion f(x) an einer bestimmten Stelle handelt. Nähern wir uns dem Begriff Ableitung über die folgende Grafik:

Sekanten_Tangente

Bei der Ableitung einer Funktion handelt es sich um die Steigung der Funktion an einer bestimmten Stelle - der Tangente - der Funktion f(x). Wie bei einer linearen Funktion wird die Steigung über 2 Punkte (P1(x0, f(x0), P2((x0+h), f(x0+h)) ermittelt. Bei obiger Beispielfunktion f(x) ist es ersichtlich, das die Genauigkeit bei der Berechnung der Steigung von der Position P2 im Verhältnis zu P1 abhängt. Von der abgebildeten P2-Position, stellt die Steigung eine Sekante dar und ist, abhängig von der Differenz P1 - P2 = h, eine mehr oder weniger grobe Näherung.
Um die Berechnung der Steigung zu verbessern, müssen wir h verringern, dass heißt P2 näher an P1 bringen (grüne Pfeile). Erreichen wir P1, wird aus der Sekante eine Tangente und damit kommen wir zum Grenzwert! Wir gehen davon aus, dass der Grenzwert existiert und er stellt die Steigung der Funktion f(x) im Punkt P1 dar, die als Tangente in P (hier P1) definiert wird.

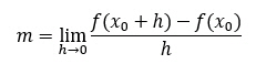
    Es wird vorausgesetzt, dass der Grenzwert existiert. Die Steigung m der Funktion f(x) im Punkt P(x0, f(x0)) ist

    Steigung

    Die Tangente ist im Punkt P des Funktionsgraphen die Gerade durch P mit der Steigung m.

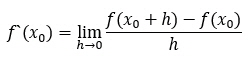
Und damit kommen wir zur Definition der Ableitung. Die Steigung ist die Änderungsrate an einer Stelle (oben in P1) und heißt Differenzenquotient von f  an der Stelle x0 mit der Schrittweite h. Existiert für den Differenzenquotient für h -> 0 ein Grenzwert, wird von der Ableitung f’(x0)einer Funktion f an der Stelle x0 gesprochen:

Ableitung_1

Kommen wir zur Verdeutlichung zurück zur linearen Funktion

Ableitung_2

Die Ableitung f’(x) an der Stelle x0 ist einfach die Steigung m der Geraden, also

Ableitung_3

 

Weiter mit dem Thema Ableitung als Funktion.

 

Seitenanfang

Hat der Inhalt Ihnen weitergeholfen und Sie möchten diese Seiten unterstützen?

Impressum

Datenschutz