![]() |
![]() | |
![]() |
![]() | ![]() | ![]() | ![]() | ![]() | ![]() | ![]() | ![]() | ![]() | ![]() |
Anwendungsbeispiel der Summenregel in der Statistik | |||||||||
Ein Würfelexperiment soll als Beispiel zur Anwendung der Summenregeln über den gewichteten arithmetischen Mittelwert dienen. Es wird der Erwartungswert E mit den Parametern Varianz v bzw. Standardabweichung s berechnet. | |||||||||
![]() | |||||||||
![]() | |||||||||
pi = Wahrscheinlichkeit für xi
|
![]() | ![]() |
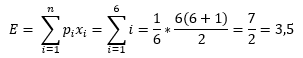
Bei einem einfachen Würfelwurf, beträgt die Wahrscheinlichkeit p für jede Zahl aus der Menge {1, 2, 3, 4, 5, 6}gewürfelt zu werden, p = 1/6. Der Erwartungswert E für einen einfachen Würfelwurf berechnet sich dann über die Summenregel wie folgt: |
![]() | |
![]() |
![]() | ![]() |
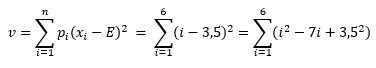
Um diesen Ausflug in die Statistik “rund” zu machen, berechnen wir die Varianz v bzw. die Standardabweichung s als Maße für die Abweichung des Experiments “Würfelwurf” für den Erwartungswert E. Achten Sie auf die Anwendung der Konstanten- und Potenzregeln aus dem Thema Summenregeln: |
![]() | ![]() | ![]() | ![]() | ![]() |
![]() | ![]() | ![]() | ![]() | ![]() | ![]() | ![]() |
![]() | |||||||||||
![]() | |||||||||||
![]() | |||||||||||
![]() | |||||||||||
![]() | |||||||||||
![]() |
![]() | ![]() |
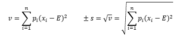
Der mittlere Wert, der Erwartungswert E, eines Würfelwurfes ist E = 3,5 mit einer Abweichung als Standardabweichung von s = +- 1,708. |
![]() | |
![]() |
![]() | ![]() |
Hat der Inhalt Ihnen weitergeholfen und Sie möchten diese Seiten unterstützen? |
|
|