Zurück...

Die Beurteilung eines Regressionsmodells kann über das AIC-Kriterium (AIC: An Information Criterion basierend auf den Statistiker Akaike) erfolgen.
Das AIC ist ein Distanzmaß zwischen dem “unbekannten wahren System” und dem durch das Modell (dem “unbekannten wahren Systems”) erzeugte Daten.

Für die Modellanpassung nach der kleinsten Fehlerquadratmethode, kann das AIC nach

AIC_1

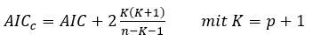
berechnet werden. Ein optimal angepasstes Modell, zeigt einen kleinen Wert für das AIC. Bei einer kleinen Anzahl Beobachtungen n, in der Literatur wird von n/K < 40 gesprochen, sollte das AIC nach

AIC_2

korrigiert werden.

Über das AIC lassen sich verschiedene geschätzte Modelle vergleichen. Es wird, wie oben schon erwähnt, das Modell als optimal angesehen, das das kleinste AIC zeigt.

Betrachten Sie das AIC nur als ein Beurteilungskriterium. Es hat sich praktisch bewährt, es besitzt aber keine theoretische Rechtfertigung.

Seitenanfang

Hat der Inhalt Ihnen weitergeholfen und Sie möchten diese Seiten unterstützen?

Impressum

Datenschutz