Zurück...

Komplexe Zahlen

Eine komplexe Zahl z besteht aus einem reellen Teil a (Realteil) und einem imaginären Teil b (Imaginärteil):

z = a + bi

D. h., die Erweiterung der reellen Zahlen a mit der imaginären Einheit i führt zur komplexen Zahl. Die Einführung der imaginären Einheit wird notwendig, um z. B. die Quadratwurzel einer negativen Zahl zu berechnen:

Die Wurzel aus -9 ist keine reelle Zahl, da

ist. Somit scheint die Schreibweise nicht möglich, obwohl -9 in zwei gleiche Faktoren

zerlegt werden kann. Dadurch liegt der Zwang vor, die imaginäre Zahl i einzuführen. Über die imaginäre Zahl i wird z. B. lösbar:

Das Produkt setzt sich dabei immer wie folgt zusammen:

Es gibt keine reelle Zahl, deren Quadrat = -1 ist. Da das Quadrat jeder reellen Zahl nur positiv sein kann, wird der Bereich der reellen Zahlen durch Einführen von als neue Zahl, deren Quadrat gleich -1 ist, erweitert. Nach Leonhard Euler (1707 - 1783) wird imaginäre Einheit genannt und mit dem Buchstaben i bezeichnet.

Aus dieser Definition gilt dann

i2 = -1

und für die imaginäre Einheit

Vor der Anwendung in Rechenregeln ist eine imaginäre Zahl als Produkt zu schreiben:

Denken Sie daran, dass folgende Rechnung nicht erlaubt ist ...

... sondern

Komplexe Zahlen werden addiert, indem die Realteile und Imaginärteile addiert werden:

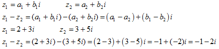
Komplexe Zahlen werden subtrahiert, indem die Realteile und Imaginärteile subtrahiert werden:

Komplexe Zahlen in algebraischer Form werden wie algebraische Summen multipliziert:

Einfach ausgedrückt, entspricht das Rechnen mit komplexen Zahlen dem Rechnen mit reellen Zahlen, es ändert sich rein gar nichts! Treffen Sie auf

          i * i, entspricht es i2 = -1, ein
          i3 entspricht (i * i) * i = -i, ein
          i4 entspricht i2 * i2 =(-1) * (-1) = 1 usw.

Ein Beispiel dazu:

Komplex_15

Zur geometrischen Darstellung der komplexen Zahlen gehen wir vom dem Realteil aus, der auf dem Zahlenstrahl liegt und vom Imaginärteil , der über dem Zahlenstrahl liegt. Damit kommen wir zur Gauß’schen Zahlenebene:

Komplex_14
Seitenanfang

Hat der Inhalt Ihnen weitergeholfen und Sie möchten diese Seiten unterstützen?

Impressum

Datenschutz