Zurück...

Binomische Formeln

Ein Binom ist ein zweigliedriger Ausdruck der Form a + b oder a - b. Die Multiplikation von Binomen führt zu den binomischen Formeln.  Die beiden beispielhaften Binome (a +b) und (c + d) werden wie folgt multipliziert:

Es wird jedes Glied des 1. Binoms mit jedem Glied des 2. Binoms multipliziert und die erhaltenen Teilprodukte addiert:

 

Für die Quadratsumme (a +b)2 sieht obiges Beispiel wie folgt aus:

Und somit kommen wir zur 1. binomischen Formel:

Die 2. binomische Formel ist entsprechend ...

... und die 3. binomische Formel ist dann

Die 3. binomische Formel führt beispielsweise für den Ausdruck 1 - x4 zu folgender Umstellung:

Binom_17

Die 1. und 2. binomische Formel kann auch wie folgt zusammengefasst1 dargestellt werden:

Potenzen von Binomen haben die allgemeine Form

und die 3. Potenz eines Binoms lässt sich wie folgt herleiten:

Zusammengefasst2:

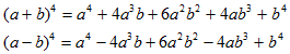
Und die 4. Potenz ...:

Zusammengefasst3:

Vergleichen Sie 1, 2 und 3 werden Sie folgende Gesetzmäßigkeiten feststellen:

  1. Die Anzahl der Glieder auf der rechten Seite der Gleichung ist um 1 größer als der größte Exponent.
  2. Mit fallenden Potenzen von a steigen die Potenzen von b.
  3. Die Vorzahlen des zweiten und des vorletzten Gliedes entsprechen dem Exponenten der linken Seite:

  4. In jedem Glied ist die Summe der beiden Exponenten konstant.

Der französische Mathematiker Blaise Pascal (1632 bis 1662) entwickelte auf dieser Beobachtung das Pascalsche Dreieck:

Das Pascalsche Dreieck ist symetrisch aufgebaut. Für beispielsweise

bedeuten die Koeffizienten des Pascalschen Dreieckes auf Basis der oben erwähnten Gesetzmäßigkeiten:

 

Seitenanfang

Hat der Inhalt Ihnen weitergeholfen und Sie möchten diese Seiten unterstützen?

Impressum

Datenschutz